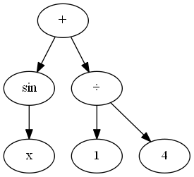
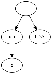
[![Build Status](https://travis-ci.org/codeplea/tinyexpr.svg?branch=master)](https://travis-ci.org/codeplea/tinyexpr) #TinyExpr TinyExpr is a very small recursive descent parser and evaluation engine for math expressions. It's handy when you want to add the ability to evaluation math expressions at runtime without adding a bunch of cruft to you project. In addition to the standard math operators and precedence, TinyExpr also supports the standard C math functions and runtime binding of variables. ##Features - **ANSI C with no dependencies**. - Single source file and header file. - Simple and fast. - Implements standard operators precedence. - Exposes standard C math functions (sin, sqrt, ln, etc.). - Can add custom functions and variables easily. - Can bind variables at eval-time. - Released under the zlib license - free for nearly any use. - Easy to use and integrate with your code - Thread-safe, provided that your *malloc* is. ##Building TinyExpr is self-contained in two files: `tinyexpr.c` and `tinyexpr.h`. To use TinyExpr, simply add those two files to your project. ##Short Example Here is a minimal example to evaluate an expression at runtime. ```C #include "tinyexpr.h" printf("%f\n", te_interp("5*5", 0)); /* Prints 25. */ ``` ##Usage TinyExpr defines only four functions: ```C double te_interp(const char *expression, int *error); te_expr *te_compile(const char *expression, const te_variable *variables, int var_count, int *error); double te_eval(const te_expr *expr); void te_free(te_expr *expr); ``` ##te_interp ```C double te_interp(const char *expression, int *error); ``` `te_interp()` takes an expression and immediately returns the result of it. If there is a parse error, `te_interp()` returns NaN. If the `error` pointer argument is not 0, then `te_interp()` will set `*error` to the position of the parse error on failure, and set `*error` to 0 on success. **example usage:** ```C int error; double a = te_interp("(5+5)", 0); /* Returns 10. */ double b = te_interp("(5+5)", &error); /* Returns 10, error is set to 0. */ double c = te_interp("(5+5", &error); /* Returns NaN, error is set to 4. */ ``` ##te_compile, te_eval, te_free ```C te_expr *te_compile(const char *expression, const te_variable *lookup, int lookup_len, int *error); double te_eval(const te_expr *n); void te_free(te_expr *n); ``` Give `te_compile()` an expression with unbound variables and a list of variable names and pointers. `te_compile()` will return a `te_expr*` which can be evaluated later using `te_eval()`. On failure, `te_compile()` will return 0 and optionally set the passed in `*error` to the location of the parse error. You may also compile expressions without variables by passing `te_compile()`'s second and thrid arguments as 0. Give `te_eval()` a `te_expr*` from `te_compile()`. `te_eval()` will evaluate the expression using the current variable values. After you're finished, make sure to call `te_free()`. **example usage:** ```C double x, y; /* Store variable names and pointers. */ te_variable vars[] = {{"x", &x}, {"y", &y}}; int err; /* Compile the expression with variables. */ te_expr *expr = te_compile("sqrt(x^2+y^2)", vars, 2, &err); if (expr) { x = 3; y = 4; const double h1 = te_eval(expr); /* Returns 5. */ x = 5; y = 12; const double h2 = te_eval(expr); /* Returns 13. */ te_free(expr); } else { printf("Parse error at %d\n", err); } ``` ##Longer Example Here is a complete example that will evaluate an expression passed in from the command line. It also does error checking and binds the variables `x` and `y` to *3* and *4*, respectively. ```C #include "tinyexpr.h" #include int main(int argc, char *argv[]) { if (argc < 2) { printf("Usage: example2 \"expression\"\n"); return 0; } const char *expression = argv[1]; printf("Evaluating:\n\t%s\n", expression); /* This shows an example where the variables * x and y are bound at eval-time. */ double x, y; te_variable vars[] = {{"x", &x}, {"y", &y}}; /* This will compile the expression and check for errors. */ int err; te_expr *n = te_compile(expression, vars, 2, &err); if (n) { /* The variables can be changed here, and eval can be called as many * times as you like. This is fairly efficient because the parsing has * already been done. */ x = 3; y = 4; const double r = te_eval(n); printf("Result:\n\t%f\n", r); te_free(n); } else { /* Show the user where the error is at. */ printf("\t%*s^\nError near here", err-1, ""); } return 0; } ``` This produces the output: $ example2 "sqrt(x^2+y2)" Evaluating: sqrt(x^2+y2) ^ Error near here $ example2 "sqrt(x^2+y^2)" Evaluating: sqrt(x^2+y^2) Result: 5.000000 ##Binding to Custom Functions TinyExpr can also call to custom functions implemented in C. Here is a short example: ```C double my_sum(double a, double b) { /* Example C function that adds two numbers together. */ return a + b; } te_variable vars[] = { {"mysum", my_sum, TE_FUNCTION2} /* TE_FUNCTION2 used because my_sum takes two arguments. */ }; te_expr *n = te_compile("mysum(5, 6)", vars, 1, 0); ``` ##How it works `te_compile()` uses a simple recursive descent parser to compile your expression into a syntax tree. For example, the expression `"sin x + 1/4"` parses as: ![example syntax tree](doc/e1.png?raw=true) `te_compile()` also automatically prunes constant branches. In this example, the compiled expression returned by `te_compile()` would become: ![example syntax tree](doc/e2.png?raw=true) `te_eval()` will automatically load in any variables by their pointer, and then evaluate and return the result of the expression. `te_free()` should always be called when you're done with the compiled expression. ##Speed TinyExpr is pretty fast compared to C when the expression is short, when the expression does hard calculations (e.g. exponentiation), and when some of the work can be simplified by `te_compile()`. TinyExpr is slow compared to C when the expression is long and involves only basic arithmetic. Here is some example performance numbers taken from the included **benchmark.c** program: | Expression | te_eval time | native C time | slowdown | | :------------- |-------------:| -----:|----:| | sqrt(a^1.5+a^2.5) | 15,641 ms | 14,478 ms | 8% slower | | a+5 | 765 ms | 563 ms | 36% slower | | a+(5*2) | 765 ms | 563 ms | 36% slower | | (a+5)*2 | 1422 ms | 563 ms | 153% slower | | (1/(a+1)+2/(a+2)+3/(a+3)) | 5,516 ms | 1,266 ms | 336% slower | ##Grammar TinyExpr parses the following grammar: = {"," } = {("+" | "-") } = {("*" | "/" | "%") } = {"^" } = {("-" | "+")} = | | {"(" ")"} | | "(" {"," } ")" | "(" ")" In addition, whitespace between tokens is ignored. Valid variable names consist of a lower case letter followed by any combination of: lower case letters *a* through *z*, the digits *0* through *9*, and underscore. Constants can be integers, decimal numbers, or in scientific notation (e.g. *1e3* for *1000*). A leading zero is not required (e.g. *.5* for *0.5*) ##Functions supported TinyExpr supports addition (+), subtraction/negation (-), multiplication (\*), division (/), exponentiation (^) and modulus (%) with the normal operator precedence (the one exception being that exponentiation is evaluated left-to-right, but this can be changed - see below). In addition, the following C math functions are also supported: - abs (calls to *fabs*), acos, asin, atan, atan2, ceil, cos, cosh, exp, floor, ln (calls to *log*), log (calls to *log10* by default, see below), log10, pow, sin, sinh, sqrt, tan, tanh Also, the following constants are available: - `pi`, `e` ##Compile-time options By default, TinyExpr does exponentation from left to right. For example: `a^b^c == (a^b)^c` and `-a^b == (-a)^b` This is by design. It's the way that spreadsheets do it (e.g. Excel, Google Sheets). If you would rather have exponentation work from right to left, you need to define `TE_POW_FROM_RIGHT` when compiling `tinyexpr.c`. There is a commented-out define near the top of that file. With this option enabled, the behaviour is: `a^b^c == a^(b^c)` and `-a^b == -(a^b)` That will match how many scripting languages do it (e.g. Python, Ruby). Also, if you'd like `log` to default to the natural log instead of `log10`, then you can define `TE_NAT_LOG`. ##Hints - All functions/types start with the letters *te*. - To allow constant optimization, surround constant expressions in parentheses. For example "x+(1+5)" will evaluate the "(1+5)" expression at compile time and compile the entire expression as "x+6", saving a runtime calculation. The parentheses are important, because TinyExpr will not change the order of evaluation. If you instead compiled "x+1+5" TinyExpr will insist that "1" is added to "x" first, and "5" is added the result second.