[](https://travis-ci.org/codeplea/tinyexpr)
 #TinyExpr
TinyExpr is a very small recursive descent parser and evaluation engine for
math expressions. It's handy when you want to add the ability to evaluation
math expressions at runtime without adding a bunch of cruft to you project.
In addition to the standard math operators and precedence, TinyExpr also supports
the standard C math functions and runtime binding of variables.
##Features
- **ANSI C with no dependencies**.
- Single source file and header file.
- Simple and fast.
- Implements standard operators precedence.
- Exposes standard C math functions (sin, sqrt, ln, etc.).
- Can add custom functions and variables easily.
- Can bind variables at eval-time.
- Released under the zlib license - free for nearly any use.
- Easy to use and integrate with your code
- Thread-safe, provided that your *malloc* is.
##Building
TinyExpr is self-contained in two files: `tinyexpr.c` and `tinyexpr.h`. To use
TinyExpr, simply add those two files to your project.
##Short Example
Here is a minimal example to evaluate an expression at runtime.
```C
    #include "tinyexpr.h"
    printf("%f\n", te_interp("5*5", 0)); /* Prints 25. */
```
##Usage
TinyExpr defines only four functions:
```C
    double te_interp(const char *expression, int *error);
    te_expr *te_compile(const char *expression, const te_variable *variables, int var_count, int *error);
    double te_eval(const te_expr *expr);
    void te_free(te_expr *expr);
```
##te_interp
```C
    double te_interp(const char *expression, int *error);
```
`te_interp()` takes an expression and immediately returns the result of it. If there
is a parse error, `te_interp()` returns NaN.
If the `error` pointer argument is not 0, then `te_interp()` will set `*error` to the position
of the parse error on failure, and set `*error` to 0 on success.
**example usage:**
```C
    int error;
    double a = te_interp("(5+5)", 0); /* Returns 10. */
    double b = te_interp("(5+5)", &error); /* Returns 10, error is set to 0. */
    double c = te_interp("(5+5", &error); /* Returns NaN, error is set to 4. */
```
##te_compile, te_eval, te_free
```C
    te_expr *te_compile(const char *expression, const te_variable *lookup, int lookup_len, int *error);
    double te_eval(const te_expr *n);
    void te_free(te_expr *n);
```
Give `te_compile()` an expression with unbound variables and a list of
variable names and pointers. `te_compile()` will return a `te_expr*` which can
be evaluated later using `te_eval()`. On failure, `te_compile()` will return 0
and optionally set the passed in `*error` to the location of the parse error.
You may also compile expressions without variables by passing `te_compile()`'s second
and thrid arguments as 0.
Give `te_eval()` a `te_expr*` from `te_compile()`. `te_eval()` will evaluate the expression
using the current variable values.
After you're finished, make sure to call `te_free()`.
**example usage:**
```C
    double x, y;
    /* Store variable names and pointers. */
    te_variable vars[] = {{"x", &x}, {"y", &y}};
    int err;
    /* Compile the expression with variables. */
    te_expr *expr = te_compile("sqrt(x^2+y^2)", vars, 2, &err);
    if (expr) {
        x = 3; y = 4;
        const double h1 = te_eval(expr); /* Returns 5. */
        x = 5; y = 12;
        const double h2 = te_eval(expr); /* Returns 13. */
        te_free(expr);
    } else {
        printf("Parse error at %d\n", err);
    }
```
##Longer Example
Here is a complete example that will evaluate an expression passed in from the command
line. It also does error checking and binds the variables `x` and `y` to *3* and *4*, respectively.
```C
    #include "tinyexpr.h"
    #include 
    int main(int argc, char *argv[])
    {
        if (argc < 2) {
            printf("Usage: example2 \"expression\"\n");
            return 0;
        }
        const char *expression = argv[1];
        printf("Evaluating:\n\t%s\n", expression);
        /* This shows an example where the variables
         * x and y are bound at eval-time. */
        double x, y;
        te_variable vars[] = {{"x", &x}, {"y", &y}};
        /* This will compile the expression and check for errors. */
        int err;
        te_expr *n = te_compile(expression, vars, 2, &err);
        if (n) {
            /* The variables can be changed here, and eval can be called as many
             * times as you like. This is fairly efficient because the parsing has
             * already been done. */
            x = 3; y = 4;
            const double r = te_eval(n); printf("Result:\n\t%f\n", r);
            te_free(n);
        } else {
            /* Show the user where the error is at. */
            printf("\t%*s^\nError near here", err-1, "");
        }
        return 0;
    }
```
This produces the output:
    $ example2 "sqrt(x^2+y2)"
        Evaluating:
                sqrt(x^2+y2)
                          ^
        Error near here
    $ example2 "sqrt(x^2+y^2)"
        Evaluating:
                sqrt(x^2+y^2)
        Result:
                5.000000
##Binding to Custom Functions
TinyExpr can also call to custom functions implemented in C. Here is a short example:
```C
double my_sum(double a, double b) {
    /* Example C function that adds two numbers together. */
    return a + b;
}
te_variable vars[] = {
    {"mysum", my_sum, TE_FUNCTION2} /* TE_FUNCTION2 used because my_sum takes two arguments. */
};
te_expr *n = te_compile("mysum(5, 6)", vars, 1, 0);
```
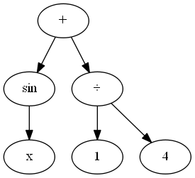
##How it works
`te_compile()` uses a simple recursive descent parser to compile your
expression into a syntax tree. For example, the expression `"sin x + 1/4"`
parses as:

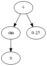
`te_compile()` also automatically prunes constant branches. In this example,
the compiled expression returned by `te_compile()` would become:

`te_eval()` will automatically load in any variables by their pointer, and then evaluate
and return the result of the expression.
`te_free()` should always be called when you're done with the compiled expression.
##Speed
TinyExpr is pretty fast compared to C when the expression is short, when the
expression does hard calculations (e.g. exponentiation), and when some of the
work can be simplified by `te_compile()`. TinyExpr is slow compared to C when the
expression is long and involves only basic arithmetic.
Here is some example performance numbers taken from the included
**benchmark.c** program:
| Expression | te_eval time | native C time | slowdown  |
| :------------- |-------------:| -----:|----:|
| sqrt(a^1.5+a^2.5) | 15,641 ms | 14,478 ms | 8% slower |
| a+5 | 765 ms | 563 ms | 36% slower |
| a+(5*2) | 765 ms | 563 ms | 36% slower |
| (a+5)*2 | 1422 ms | 563 ms | 153% slower |
| (1/(a+1)+2/(a+2)+3/(a+3)) | 5,516 ms | 1,266 ms | 336% slower |
##Grammar
TinyExpr parses the following grammar:
#TinyExpr
TinyExpr is a very small recursive descent parser and evaluation engine for
math expressions. It's handy when you want to add the ability to evaluation
math expressions at runtime without adding a bunch of cruft to you project.
In addition to the standard math operators and precedence, TinyExpr also supports
the standard C math functions and runtime binding of variables.
##Features
- **ANSI C with no dependencies**.
- Single source file and header file.
- Simple and fast.
- Implements standard operators precedence.
- Exposes standard C math functions (sin, sqrt, ln, etc.).
- Can add custom functions and variables easily.
- Can bind variables at eval-time.
- Released under the zlib license - free for nearly any use.
- Easy to use and integrate with your code
- Thread-safe, provided that your *malloc* is.
##Building
TinyExpr is self-contained in two files: `tinyexpr.c` and `tinyexpr.h`. To use
TinyExpr, simply add those two files to your project.
##Short Example
Here is a minimal example to evaluate an expression at runtime.
```C
    #include "tinyexpr.h"
    printf("%f\n", te_interp("5*5", 0)); /* Prints 25. */
```
##Usage
TinyExpr defines only four functions:
```C
    double te_interp(const char *expression, int *error);
    te_expr *te_compile(const char *expression, const te_variable *variables, int var_count, int *error);
    double te_eval(const te_expr *expr);
    void te_free(te_expr *expr);
```
##te_interp
```C
    double te_interp(const char *expression, int *error);
```
`te_interp()` takes an expression and immediately returns the result of it. If there
is a parse error, `te_interp()` returns NaN.
If the `error` pointer argument is not 0, then `te_interp()` will set `*error` to the position
of the parse error on failure, and set `*error` to 0 on success.
**example usage:**
```C
    int error;
    double a = te_interp("(5+5)", 0); /* Returns 10. */
    double b = te_interp("(5+5)", &error); /* Returns 10, error is set to 0. */
    double c = te_interp("(5+5", &error); /* Returns NaN, error is set to 4. */
```
##te_compile, te_eval, te_free
```C
    te_expr *te_compile(const char *expression, const te_variable *lookup, int lookup_len, int *error);
    double te_eval(const te_expr *n);
    void te_free(te_expr *n);
```
Give `te_compile()` an expression with unbound variables and a list of
variable names and pointers. `te_compile()` will return a `te_expr*` which can
be evaluated later using `te_eval()`. On failure, `te_compile()` will return 0
and optionally set the passed in `*error` to the location of the parse error.
You may also compile expressions without variables by passing `te_compile()`'s second
and thrid arguments as 0.
Give `te_eval()` a `te_expr*` from `te_compile()`. `te_eval()` will evaluate the expression
using the current variable values.
After you're finished, make sure to call `te_free()`.
**example usage:**
```C
    double x, y;
    /* Store variable names and pointers. */
    te_variable vars[] = {{"x", &x}, {"y", &y}};
    int err;
    /* Compile the expression with variables. */
    te_expr *expr = te_compile("sqrt(x^2+y^2)", vars, 2, &err);
    if (expr) {
        x = 3; y = 4;
        const double h1 = te_eval(expr); /* Returns 5. */
        x = 5; y = 12;
        const double h2 = te_eval(expr); /* Returns 13. */
        te_free(expr);
    } else {
        printf("Parse error at %d\n", err);
    }
```
##Longer Example
Here is a complete example that will evaluate an expression passed in from the command
line. It also does error checking and binds the variables `x` and `y` to *3* and *4*, respectively.
```C
    #include "tinyexpr.h"
    #include 
    int main(int argc, char *argv[])
    {
        if (argc < 2) {
            printf("Usage: example2 \"expression\"\n");
            return 0;
        }
        const char *expression = argv[1];
        printf("Evaluating:\n\t%s\n", expression);
        /* This shows an example where the variables
         * x and y are bound at eval-time. */
        double x, y;
        te_variable vars[] = {{"x", &x}, {"y", &y}};
        /* This will compile the expression and check for errors. */
        int err;
        te_expr *n = te_compile(expression, vars, 2, &err);
        if (n) {
            /* The variables can be changed here, and eval can be called as many
             * times as you like. This is fairly efficient because the parsing has
             * already been done. */
            x = 3; y = 4;
            const double r = te_eval(n); printf("Result:\n\t%f\n", r);
            te_free(n);
        } else {
            /* Show the user where the error is at. */
            printf("\t%*s^\nError near here", err-1, "");
        }
        return 0;
    }
```
This produces the output:
    $ example2 "sqrt(x^2+y2)"
        Evaluating:
                sqrt(x^2+y2)
                          ^
        Error near here
    $ example2 "sqrt(x^2+y^2)"
        Evaluating:
                sqrt(x^2+y^2)
        Result:
                5.000000
##Binding to Custom Functions
TinyExpr can also call to custom functions implemented in C. Here is a short example:
```C
double my_sum(double a, double b) {
    /* Example C function that adds two numbers together. */
    return a + b;
}
te_variable vars[] = {
    {"mysum", my_sum, TE_FUNCTION2} /* TE_FUNCTION2 used because my_sum takes two arguments. */
};
te_expr *n = te_compile("mysum(5, 6)", vars, 1, 0);
```
##How it works
`te_compile()` uses a simple recursive descent parser to compile your
expression into a syntax tree. For example, the expression `"sin x + 1/4"`
parses as:

`te_compile()` also automatically prunes constant branches. In this example,
the compiled expression returned by `te_compile()` would become:

`te_eval()` will automatically load in any variables by their pointer, and then evaluate
and return the result of the expression.
`te_free()` should always be called when you're done with the compiled expression.
##Speed
TinyExpr is pretty fast compared to C when the expression is short, when the
expression does hard calculations (e.g. exponentiation), and when some of the
work can be simplified by `te_compile()`. TinyExpr is slow compared to C when the
expression is long and involves only basic arithmetic.
Here is some example performance numbers taken from the included
**benchmark.c** program:
| Expression | te_eval time | native C time | slowdown  |
| :------------- |-------------:| -----:|----:|
| sqrt(a^1.5+a^2.5) | 15,641 ms | 14,478 ms | 8% slower |
| a+5 | 765 ms | 563 ms | 36% slower |
| a+(5*2) | 765 ms | 563 ms | 36% slower |
| (a+5)*2 | 1422 ms | 563 ms | 153% slower |
| (1/(a+1)+2/(a+2)+3/(a+3)) | 5,516 ms | 1,266 ms | 336% slower |
##Grammar
TinyExpr parses the following grammar:
          =     {"," }
          =     {("+" | "-") }
          =     {("*" | "/" | "%") }
        =     {"^" }
         =    {("-" | "+")} 
          =    
                   | 
                   |  {"(" ")"}
                   |  
                   |  "("  {"," } ")"
                   | "("  ")"
In addition, whitespace between tokens is ignored.
Valid variable names consist of a lower case letter followed by any combination
of: lower case letters *a* through *z*, the digits *0* through *9*, and
underscore. Constants can be integers, decimal numbers, or in scientific
notation (e.g.  *1e3* for *1000*). A leading zero is not required (e.g. *.5*
for *0.5*)
##Functions supported
TinyExpr supports addition (+), subtraction/negation (-), multiplication (\*),
division (/), exponentiation (^) and modulus (%) with the normal operator
precedence (the one exception being that exponentiation is evaluated
left-to-right, but this can be changed - see below).
In addition, the following C math functions are also supported:
- abs (calls to *fabs*), acos, asin, atan, atan2, ceil, cos, cosh, exp, floor, ln (calls to *log*), log (calls to *log10* by default, see below), log10, pow, sin, sinh, sqrt, tan, tanh
Also, the following constants are available:
- `pi`, `e`
##Compile-time options
By default, TinyExpr does exponentation from left to right. For example:
`a^b^c == (a^b)^c` and `-a^b == (-a)^b`
This is by design. It's the way that spreadsheets do it (e.g. Excel, Google Sheets).
If you would rather have exponentation work from right to left, you need to
define `TE_POW_FROM_RIGHT` when compiling `tinyexpr.c`. There is a
commented-out define near the top of that file. With this option enabled, the
behaviour is:
`a^b^c == a^(b^c)` and `-a^b == -(a^b)`
That will match how many scripting languages do it (e.g. Python, Ruby).
Also, if you'd like `log` to default to the natural log instead of `log10`,
then you can define `TE_NAT_LOG`.
##Hints
- All functions/types start with the letters *te*.
- To allow constant optimization, surround constant expressions in parentheses.
  For example "x+(1+5)" will evaluate the "(1+5)" expression at compile time and
  compile the entire expression as "x+6", saving a runtime calculation. The
  parentheses are important, because TinyExpr will not change the order of
  evaluation. If you instead compiled "x+1+5" TinyExpr will insist that "1" is
  added to "x" first, and "5" is added the result second.