#TINYEXPR
TINYEXPR is a very small recursive descent parser and evaluation engine for math expressions. It's handy when you want to add the ability to evaluation math expressions at runtime without adding a bunch of cruft to you project.
In addition to the standard math operators and precedence, TINYEXPR also supports the standard C math functions and runtime binding of variables.
##Features
- ANSI C with no dependencies.
- Single source file and header file.
- Simple and fast.
- Implements standard operators precedence.
- Exposes standard C math functions (sin, sqrt, ln, etc.).
- Can bind variables at eval-time.
- Released under the zlib license - free for nearly any use.
- Easy to use and integrate with your code
- Thread-safe, provided that your malloc is.
##Short Example
Here is a minimal example to evaluate an expression at runtime.
#include "tinyexpr.h"
#include <stdio.h>
int main(int argc, char *argv[])
{
const char *c = "sqrt(5^2+7^2+11^2+(8-2)^2)";
double r = te_interp(c, 0);
printf("The expression:\n\t%s\nevaluates to:\n\t%f\n", c, r);
return 0;
}
That produces the following output:
The expression:
sqrt(5^2+7^2+11^2+(8-2)^2)
evaluates to:
15.198684
##Longer Example
Here is an example that will evaluate an expression passed in from the command line. It also does error checking and binds the variables x and y.
#include "tinyexpr.h"
#include <stdio.h>
int main(int argc, char *argv[])
{
if (argc < 2) {
printf("Usage: example2 \"expression\"\n", argv[0]);
return 0;
}
const char *expression = argv[1];
printf("Evaluating:\n\t%s\n", expression);
/* This shows an example where the variables
* x and y are bound at eval-time. */
double x, y;
te_variable vars[] = {{"x", &x}, {"y", &y}};
/* This will compile the expression and check for errors. */
int err;
te_expr *n = te_compile(expression, vars, 2, &err);
if (!err) {
/* The variables can be changed here, and eval can be called as many
* times as you like. This is fairly efficient because the parsing has
* already been done. */
x = 3;
y = 4;
const double r = te_eval(n); printf("Result:\n\t%f\n", r); }
else {
/* Show the user where the error is at. */
printf("\t%*s^\nError near here", err-1, "");
}
/* te_free is safe to call on null. */
te_free(n);
return 0;
}
This produces the output:
$ example2 "sqrt(x^2+y2)"
Evaluating:
sqrt(x^2+y2)
^
Error near here
$ example2 "sqrt(x^2+y^2)"
Evaluating:
sqrt(x^2+y^2)
Result:
5.000000
##Usage
TINYEXPR defines only five functions:
double te_interp(const char *expression, int *error);
te_expr *te_compile(const char *expression, const te_variable *lookup, int lookup_len, int *error);
double te_eval(const te_expr *n);
void te_print(const te_expr *n);
void te_free(te_expr *n);
te_interp takes an expression and immediately returns the result of it. If an error pointer is passed in, te_interp will set it to 0 for success or approximately the position of the error for failure. If you don't care about errors, just pass in 0. te_interp will return NaN for bad expressions regardless.
te_interp example:
double x = te_interp("5+5", 0);
te_compile will compile an expression with unbound variables, which will be suitable to evaluate later. te_eval can then be called on the compiled expression repeatedly to evaluate it with different variable values. te_free should be called after you're finished.
te_compile example:
double x, y;
te_variable vars[] = {{"x", &x}, {"y", &y}};
int err;
te_expr *expr = te_compile("sqrt(x^2+y^2)", vars, 2, &err);
if (!err) {
x = 3; y = 4;
const double h1 = te_eval(expr);
x = 5; y = 7;
const double h2 = te_eval(expr);
}
te_free(expr);
te_print will display some (possibly not so) useful debugging information about the return value of te_compile.
##How it works
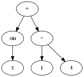
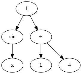
te_compile uses a simple recursive descent parser to compile your expression into a syntax tree. For example, the expression "sin x + 1/4" parses as:
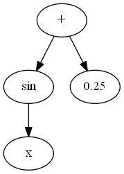
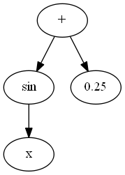
te_compile also automatically prunes constant branches. In this example, the compiled expression returned by te_compile is:
te_eval will automatically load in any variables by their pointer, then evaluate and return the result of the expression.
te_free should always be called when you're done with the compiled expression.
##Speed
TINYEXPR is pretty fast compared to C when the expression is short, when the expression does hard calculations (e.g. exponentiation), and when some of the work can be simplified by te_compile. TINYEXPR is slow compared to C when the expression is long and involves only basic arithmetic.
Here is some example performance numbers taken from the included benchmark.c program:
| Expression | te_eval time | native C time | slowdown |
|---|---|---|---|
| sqrt(a^1.5+a^2.5) | 15,641 ms | 14,478 ms | 8% slower |
| a+5 | 765 ms | 563 ms | 36% slower |
| a+(5*2) | 765 ms | 563 ms | 36% slower |
| (a+5)*2 | 1422 ms | 563 ms | 153% slower |
| (1/(a+1)+2/(a+2)+3/(a+3)) | 5,516 ms | 1,266 ms | 336% slower |
##Grammar
TINYEXPR parses the following grammar:
<expr> = <term> {("+" | "-") <term>}
<term> = <factor> {("*" | "/" | "%") <factor>}
<factor> = <power> {"^" <power>}
<power> = {("-" | "+")} <base>
<base> = <constant> | <variable> | <function> <power> | "(" <expr> ")"
In addition, whitespace between tokens is ignored.
Valid variable names are any combination of the lower case letters a through z. Constants can be integers, decimal numbers, or in scientific notation (e.g. 1e3 for 1000). A leading zero is not required (e.g. .5 for 0.5)
##Functions supported
TINYEXPR supports addition (+), subtraction/negation (-), multiplication (*), division (/), exponentiation (^) and modulus (%) with the normal operator precedence (the one exception being that exponentiation is evaluated left-to-right).
In addition, the following C math functions are also supported:
- abs (calls to fabs), acos, asin, atan, ceil, cos, cosh, exp, floor, ln (calls to log), log (calls to log10), sin, sinh, sqrt, tan, tanh
##Hints
-
All functions/types start with the letters te.
-
If there is an error, you can usually still evaluate the first part of the expression. This may or may not be useful to you.
-
To allow constant optimization, surround constant expressions in parentheses. For example "x+(1+5)" will evaluate the "(1+5)" expression at compile time and compile the entire expression as "x+6", saving a runtime calculation. The parentheses are important, because TINYEXPR will not change the order of evaluation. If you instead compiled "x+1+5" TINYEXPR will insist that "1" is added to "x" first, and "5" is added the result second.

