2016-01-24 20:43:49 -06:00
2016-01-21 14:36:59 -06:00
2016-01-24 20:43:49 -06:00
2016-01-21 14:36:59 -06:00
2016-01-21 14:36:59 -06:00
2016-01-21 14:36:59 -06:00
2016-01-21 14:36:59 -06:00
2016-01-23 12:10:51 -06:00
2016-01-23 12:38:23 -06:00
2016-01-24 20:33:52 -06:00

#TINYEXPR

TINYEXPR is a very small recursive descent parser and evaluation engine for math expressions. It's handy when you want to add the ability to evaluation math expressions at runtime without adding a bunch of cruft to you project.

In addition to the standard math operators and precedence, TINYEXPR also supports the standard C math functions and runtime binding of variables.

##Features

  • ANSI C with no dependencies.
  • Single source file and header file.
  • Simple and fast.
  • Implements standard operators precedence.
  • Exposes standard C math functions (sin, sqrt, ln, etc.).
  • Can bind variables at eval-time.
  • Released under the zlib license - free for nearly any use.
  • Easy to use and integrate with your code
  • Thread-safe, provided that your malloc is.

##Short Example

Here is a minimal example to evaluate an expression at runtime.

    #include "tinyexpr.h"
    #include <stdio.h>

    int main(int argc, char *argv[])
    {
        const char *c = "sqrt(5^2+7^2+11^2+(8-2)^2)";
        double r = te_interp(c, 0);
        printf("The expression:\n\t%s\nevaluates to:\n\t%f\n", c, r);
        return 0;
    }

That produces the following output:

The expression:
        sqrt(5^2+7^2+11^2+(8-2)^2)
evaluates to:
        15.198684

##Longer Example

Here is an example that will evaluate an expression passed in from the command line. It also does error checking and binds the variables x and y.

    #include "tinyexpr.h"
    #include <stdio.h>

    int main(int argc, char *argv[])
    {
        if (argc < 2) {
            printf("Usage: example2 \"expression\"\n", argv[0]);
            return 0;
        }

        const char *expression = argv[1];
        printf("Evaluating:\n\t%s\n", expression);

        /* This shows an example where the variables
         * x and y are bound at eval-time. */
        double x, y;
        te_variable vars[] = {{"x", &x}, {"y", &y}};

        /* This will compile the expression and check for errors. */
        int err;
        te_expr *n = te_compile(expression, vars, 2, &err);

        if (!err) {
            /* The variables can be changed here, and eval can be called as many
             * times as you like. This is fairly efficient because the parsing has
             * already been done. */
            x = 3;
            y = 4;
            const double r = te_eval(n); printf("Result:\n\t%f\n", r); }
        else {
            /* Show the user where the error is at. */
            printf("\t%*s^\nError near here", err-1, "");
        }

        /* te_free is safe to call on null. */
        te_free(n);

        return 0;
    }

This produces the output:

$ example2 "sqrt(x^2+y2)"
    Evaluating:
            sqrt(x^2+y2)
                      ^
    Error near here


$ example2 "sqrt(x^2+y^2)"
    Evaluating:
            sqrt(x^2+y^2)
    Result:
            5.000000

##Usage

TINYEXPR defines only five functions:

    double te_interp(const char *expression, int *error);
    te_expr *te_compile(const char *expression, const te_variable *lookup, int lookup_len, int *error);
    double te_eval(const te_expr *n);
    void te_print(const te_expr *n);
    void te_free(te_expr *n);

te_interp takes an expression and immediately returns the result of it. If an error pointer is passed in, te_interp will set it to 0 for success or approximately the position of the error for failure. If you don't care about errors, just pass in 0. te_interp will return NaN for bad expressions regardless.

te_interp example:

    double x = te_interp("5+5", 0);

te_compile will compile an expression with unbound variables, which will be suitable to evaluate later. te_eval can then be called on the compiled expression repeatedly to evaluate it with different variable values. te_free should be called after you're finished.

te_compile example:

    double x, y;
    te_variable vars[] = {{"x", &x}, {"y", &y}};

    int err;
    te_expr *expr = te_compile("sqrt(x^2+y^2)", vars, 2, &err);

    if (!err) {
        x = 3; y = 4;
        const double h1 = te_eval(expr);

        x = 5; y = 7;
        const double h2 = te_eval(expr);
    }

    te_free(expr);

te_print will display some (possibly not so) useful debugging information about the return value of te_compile.

##How it works

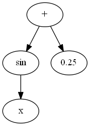
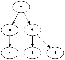
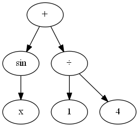
te_compile uses a simple recursive descent parser to compile your expression into a syntax tree. For example, the expression "sin x + 1/4" parses as:

example syntax tree

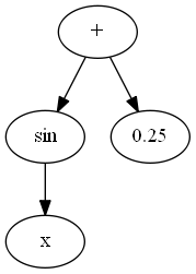
te_compile also automatically prunes constant branches. In this example, the compiled expression returned by te_compile is:

example syntax tree

te_eval will automatically load in any variables by their pointer, then evaluate and return the result of the expression.

te_free should always be called when you're done with the compiled expression.

##Speed

TINYEXPR is pretty fast compared to C when the expression is short, when the expression does hard calculations (e.g. exponentiation), and when some of the work can be simplified by te_compile. TINYEXPR is slow compared to C when the expression is long and involves only basic arithmetic.

Here is some example performance numbers taken from the included benchmark.c program:

Expression te_eval time native C time slowdown
sqrt(a^1.5+a^2.5) 15,641 ms 14,478 ms 8% slower
a+5 765 ms 563 ms 36% slower
a+(5*2) 765 ms 563 ms 36% slower
(a+5)*2 1422 ms 563 ms 153% slower
(1/(a+1)+2/(a+2)+3/(a+3)) 5,516 ms 1,266 ms 336% slower

##Grammar

TINYEXPR parses the following grammar:

<expr>      =    <term> {("+" | "-") <term>}
<term>      =    <factor> {("*" | "/" | "%") <factor>}
<factor>    =    <power> {"^" <power>}
<power>     =    {("-" | "+")} <base>
<base>      =    <constant> | <variable> | <function> <power> | "(" <expr> ")"

In addition, whitespace between tokens is ignored.

Valid variable names are any combination of the lower case letters a through z. Constants can be integers, decimal numbers, or in scientific notation (e.g. 1e3 for 1000). A leading zero is not required (e.g. .5 for 0.5)

##Functions supported

TINYEXPR supports addition (+), subtraction/negation (-), multiplication (*), division (/), exponentiation (^) and modulus (%) with the normal operator precedence (the one exception being that exponentiation is evaluated left-to-right).

In addition, the following C math functions are also supported:

  • abs (calls to fabs), acos, asin, atan, ceil, cos, cosh, exp, floor, ln (calls to log), log (calls to log10), sin, sinh, sqrt, tan, tanh

##Hints

  • All functions/types start with the letters te.

  • If there is an error, you can usually still evaluate the first part of the expression. This may or may not be useful to you.

  • To allow constant optimization, surround constant expressions in parentheses. For example "x+(1+5)" will evaluate the "(1+5)" expression at compile time and compile the entire expression as "x+6", saving a runtime calculation. The parentheses are important, because TINYEXPR will not change the order of evaluation. If you instead compiled "x+1+5" TINYEXPR will insist that "1" is added to "x" first, and "5" is added the result second.

Description
No description provided
Readme Zlib 171 KiB
Languages
C 98.2%
Makefile 1.8%